後衛上位DPSの計算機を先日作成しましたが、計算方法については複雑なため説明は割愛させていただきました。しかし、私の説明で信頼に値する記事・計算機だと判断してもらってから活用してほしい と考えているため、詳しく説明していこうと思います。
とは言っても数式関連は難しいと思う人も多いと思うので、本当に計算が合っているのか不安な方は参考にしてみてください。また、間違い等あればお知らせください。
今回使用したデータは基本的に数値は計算機のデフォルト設定+☆5参考データです。
イクリーズや編成ボーナスやカントリーマインド等、今回使用していないものも含んでいますが、通常攻撃の計算式については与ダメ計算式についての記事も参考にしてみてください。また、後衛上位の与ダメに関しては修正後の後衛上位ルーンについての記事をご参照ください。
通常与ダメ
通常与ダメは追加攻撃ではない通常攻撃の与ダメのことを指します。95%~105%の乱数に関しては無視しています。
上図の弓の通常与ダメを算出する計算式は以下のようになっています。上が一般的な式、下が実際の値を使用した式です。弓以外はアーチェルーンの部分をかけないようになっています。(弓はアーチェの期待値が乗っているので実際の数値ではないですが、他武器はゲーム上に表示される数字と同じになるはずです。)
通常分DPS
通常分DPSは、攻撃与ダメに同時攻撃数か敵の数のどちらか多い方をかけて実際間隔で割った、ただそれだけのものです。
ただし、銃の場合はペネトレイトルーンの効果は敵の数と同時攻撃数を基にして以下の表の値を攻撃数としています。敵の数が20体以上のときは、20体分貫通がほぼほぼ起こりえないので20体のときの攻撃数を参照しています。
通常分DPSの式は以下のようになります。上位分DPS
ハンタールーンの与ダメ
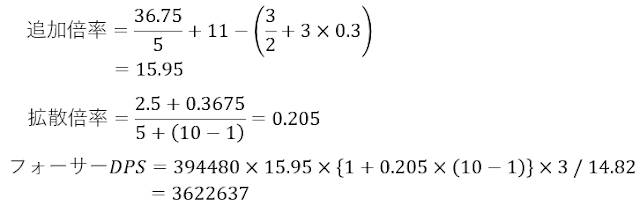
フォーサールーンの与ダメ
フォーサールーンは追加攻撃の与ダメは敵の数により変わりませんが、拡散攻撃は敵の数で変わります。例えば、3体攻撃の場合、敵が1体なら拡散攻撃は誰にもあたりませんし、敵が2体なら1回ずつ合計2回の拡散攻撃をします。敵が10体なら通常攻撃が当たらない9体にそれぞれ3回ずつ拡散攻撃が当たり、合計27回分です。このように「(敵の数-1)×(同時攻撃数 or 敵の数 のうち小さい方)」回の拡散攻撃が当たります。
よって、式は以下のようになります。拡散倍率のHit敵数は、追加攻撃が当たった敵は拡散攻撃の対象外になるので「敵の数-1」です。
シュータールーンの与ダメ
シュータールーンはペネトレイトルーンの効果により5ゲージ時間が短いのと、属性補正が変化するのが特徴です。計算方法としては既に求めた通常与ダメの属性補正を無理やり変えた後に追加倍率をかける形にしているので、そのままのやり方で説明していきます。
式は以下のようになります。
例えば、敵の数が10体なら以下のような計算です。
まとめ的な何か
それぞれの武器種の計算結果が、計算機で算出した表のDPSと同じになっていると思います。この通常分DPSと上位分DPSを足したものが総合DPSとなります。降臨想定の場合上位DPSの部分は、基本的に敵の数が1になるだけで、銃に関してはペネトレイトがなくなり5ゲージ時間も他武器と同様となります。















0 件のコメント:
コメントを投稿